Рисунки для срисовки и не только Папик.Про


дан черно белый рисунок восстановите его десятичный код для срисовки

Черно-белый рисунок – это изображение, состоящее только из двух цветов: черного и белого. Для восстановления его десятичного кода необходимо преобразовать каждый пиксель изображения в соответствующий числовой формат. Каждый пиксель может быть представлен в виде комбинации двух значений: 0 для черного цвета и 1 для белого цвета. Путем объединения этих значений в последовательность, можно получить десятичный код всего рисунка. Такой подход позволяет сохранить информацию о каждом пикселе и восстановить его точное изображение при необходимости.


Десятичный код растрового изображения
Десятичный код растрового изображения

Двоичный код рисунок
Двоичный код рисунок

КРД черно белое изображения
КРД черно белое изображения

Двоичный числовой код
Двоичный числовой код

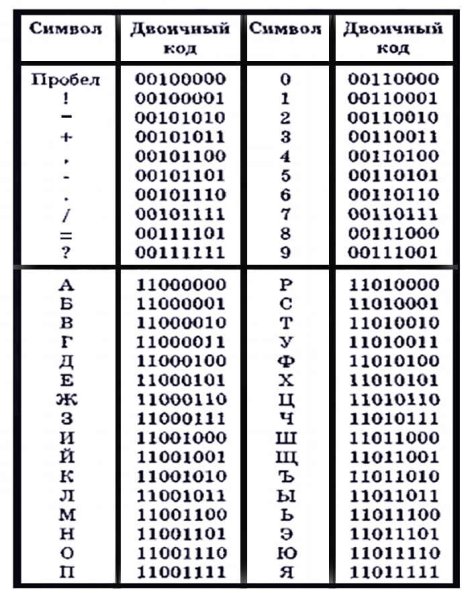
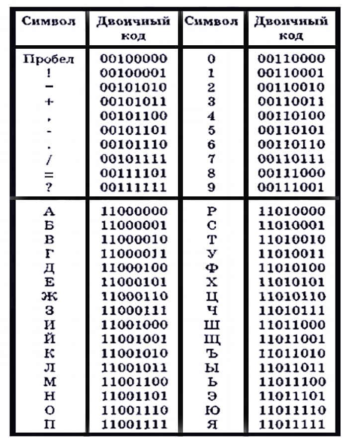
Таблица расшифровки двоичного кода
Таблица расшифровки двоичного кода

Восстановить рисунок по коду
Восстановить рисунок по коду

Кодирование рисунков
Кодирование рисунков

Кодирование изображения задания
Кодирование изображения задания

Кодирование рисунка Информатика
Кодирование рисунка Информатика

Числа в двоичном коде
Числа в двоичном коде

Закодировано черно белое изображение
Закодировано черно белое изображение

Код черно белого изображения
Код черно белого изображения

Кодирование рисунков
Кодирование рисунков

Коды черно белого изображения
Коды черно белого изображения

Кодирование черно-белого изображения
Кодирование черно-белого изображения

Двоичное кодирование 2 класс Информатика задания
Двоичное кодирование 2 класс Информатика задания

Восстановить изображение по двоичному коду
Восстановить изображение по двоичному коду

Кодирование черно-белого изображения
Кодирование черно-белого изображения

Кодирование векторного изображения изображения в двоичный код
Кодирование векторного изображения изображения в двоичный код

Двоичный код рисунок
Двоичный код рисунок

Кодирование растровой графики
Кодирование растровой графики

Кодирование рисунков
Кодирование рисунков

Кодирование рисунков
Кодирование рисунков

Кодирование графических изображений
Кодирование графических изображений

Восстанови рисунок по его двоичному коду
Восстанови рисунок по его двоичному коду

Рисунок в двоичном коде
Рисунок в двоичном коде

Кодирование растровой графики
Кодирование растровой графики

Как закодировать рисунок двоичным кодом
Как закодировать рисунок двоичным кодом

Кодирование растровой графики задачи
Кодирование растровой графики задачи

Дан двоичный код 11000001 какие клетки будут закрашены чёрным цветом
Дан двоичный код 11000001 какие клетки будут закрашены чёрным цветом

Рисунок по двоичному коду
Рисунок по двоичному коду

Задания двоичное кодирование 2 класс
Задания двоичное кодирование 2 класс

Рисунок в двоичном коде
Рисунок в двоичном коде

Коды букв в двоичной системе
Коды букв в двоичной системе

Восстановите код для черно белого изображения
Восстановите код для черно белого изображения

От десятичных кодов перейдите к двоичным и нарисуйте рисунок
От десятичных кодов перейдите к двоичным и нарисуйте рисунок

Чёрно белый рисвунок в двоичном коде
Чёрно белый рисвунок в двоичном коде

Рисунок по двоичному коду
Рисунок по двоичному коду

Коды с цифрами 0.1.2
Коды с цифрами 0.1.2

Рисунок в двоичном коде
Рисунок в двоичном коде

Кодирование черно-белого изображения
Кодирование черно-белого изображения

Кодирование рисунка по клеткам
Кодирование рисунка по клеткам

Рисунок в двоичном коде
Рисунок в двоичном коде

Кодирование рисунков
Кодирование рисунков

Таблица символ десятичный код двоичный код
Таблица символ десятичный код двоичный код

224 В двоичный код
224 В двоичный код

Двоичный код задания
Двоичный код задания

Рисунок по двоичному коду
Рисунок по двоичному коду

Смотрите онлайн или можете скачать на телефон или компьютер в хорошем качестве совешенно бесплатно. Не забывайте оставить комментарий и посмотреть другие фотографии и изображения высокого качества, например вязание рисунок черно белый и очки рисунок черно белый из раздела Черно-белые рисунки


Уважаемый посетитель, Вы зашли на сайт как незарегистрированный пользователь. Мы рекомендуем Вам зарегистрироваться либо зайти на сайт под своим именем.