Рисунки для срисовки и не только Папик.Про


рисунок атф биология для срисовки

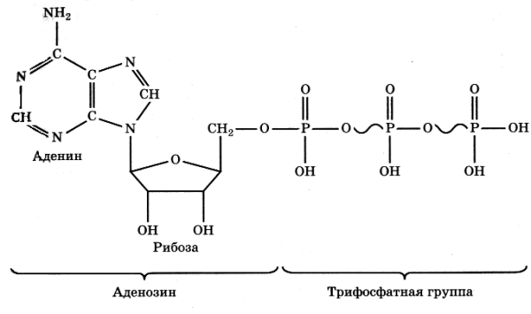
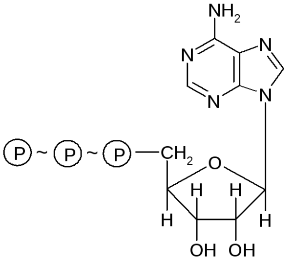
Рисунок АТФ (аденозинтрифосфат) в биологии является одной из самых важных молекул. АТФ является основным источником энергии для клеток, играя ключевую роль в метаболических процессах организма. Эта молекула имеет уникальную структуру, состоящую из трех фосфатных групп, связанных с аденином через рибозу. При гидролизе одной из фосфатных групп, АТФ образует АДФ (аденозиндифосфат), освобождая энергию, которая используется клеткой для выполнения различных функций, включая синтез белков, передачу нервных импульсов и мышечное сокращение. Рисунок АТФ позволяет наглядно представить эту важную молекулу и ее роль в жизни клеток и организмов.


Строение молекулы АТФ биология
Строение молекулы АТФ биология

Структура молекулы АТФ
Структура молекулы АТФ

Строение молекулы АТФ
Строение молекулы АТФ

Молекула АТФ состоит из
Молекула АТФ состоит из

Структура молекулы АТФ
Структура молекулы АТФ

Структурные компоненты АТФ
Структурные компоненты АТФ

Схема строения АТФ
Схема строения АТФ

Схема гидролиза АТФ
Схема гидролиза АТФ

Формула АТФ С макроэргическими связями
Формула АТФ С макроэргическими связями

Строение мономера АТФ
Строение мономера АТФ

Схема молекулы аденозинтрифосфорной кислоты
Схема молекулы аденозинтрифосфорной кислоты

Строение АТФ формула
Строение АТФ формула

Фосфатная группа АТФ
Фосфатная группа АТФ

Пространственное строение АТФ
Пространственное строение АТФ

Схема строения молекулы АТФ
Схема строения молекулы АТФ

Строение молекулы АТФ
Строение молекулы АТФ

Структура нуклеотида АТФ
Структура нуклеотида АТФ

Строение молекулы АТФ
Строение молекулы АТФ

Строение молекулы АТФ биология ЕГЭ
Строение молекулы АТФ биология ЕГЭ

Строение молекулы АТФ
Строение молекулы АТФ

Схема строения нуклеотида АТФ
Схема строения нуклеотида АТФ

Модель молекулы АТФ
Модель молекулы АТФ

Схема строения АТФ
Схема строения АТФ

Химическая структура АТФ
Химическая структура АТФ

АТФ универсальный источник энергии в клетке
АТФ универсальный источник энергии в клетке

АТФ образуется
АТФ образуется

Схема молекулы АТФ
Схема молекулы АТФ

Нуклеиновые кислоты АТФ 10 класс
Нуклеиновые кислоты АТФ 10 класс

АТФ строение и функции 10 класс
АТФ строение и функции 10 класс

Формула нуклеотида АТФ
Формула нуклеотида АТФ

Схема строения молекулы АТФ
Схема строения молекулы АТФ

Структурная организация АТФ
Структурная организация АТФ

Структура молекулы АТФ
Структура молекулы АТФ

Аденозинтрифосфорная кислота формула
Аденозинтрифосфорная кислота формула

Химическая формула молекулы АТФ
Химическая формула молекулы АТФ

Строение молекулы АТФ биология
Строение молекулы АТФ биология

Строение АТФ без подписей
Строение АТФ без подписей

АТФ-аккумулятор картинка
АТФ-аккумулятор картинка

Схема строения молекулы АТФ
Схема строения молекулы АТФ

Структура АТФ биохимия
Структура АТФ биохимия

Структурные компоненты АТФ
Структурные компоненты АТФ

Строение молекулы АТФ
Строение молекулы АТФ

АТФ универсальный источник энергии в клетке
АТФ универсальный источник энергии в клетке

Схема структуры молекулы АТФ
Схема структуры молекулы АТФ

АТФ-структура, Синтез, биологическая функция.
АТФ-структура, Синтез, биологическая функция.

Химическая формула молекулы аденозинтрифосфорной кислоты
Химическая формула молекулы аденозинтрифосфорной кислоты

Схема строения молекулы АТФ
Схема строения молекулы АТФ

АТФ универсальный источник энергии в клетке
АТФ универсальный источник энергии в клетке

Рисунок атф биология (50 фото)
Рисунок атф биология (50 фото)

Смотрите онлайн или можете скачать на телефон или компьютер в хорошем качестве совешенно бесплатно. Не забывайте оставить комментарий и посмотреть другие фотографии и изображения высокого качества, например дом симметричный рисунок и рисунок баттерфляй плавание из раздела Рисунки


Уважаемый посетитель, Вы зашли на сайт как незарегистрированный пользователь. Мы рекомендуем Вам зарегистрироваться либо зайти на сайт под своим именем.