Рисунки для срисовки и не только Папик.Про


гемоглобин рисунок для срисовки

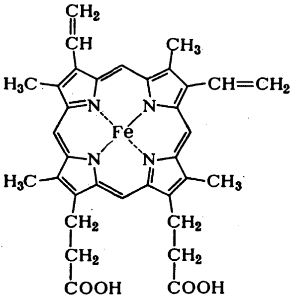
Гемоглобин - это важный белковый компонент крови, который играет ключевую роль в транспорте кислорода от легких к органам и тканям. Он представляет собой сложную молекулу, состоящую из четырех глобиновых цепей, каждая из которых соединена с группой гема. Именно гем даёт гемоглобину его способность связываться с кислородом. Гемоглобин способен образовывать окислительно-восстановительные соединения, что позволяет ему выполнять дополнительные функции, такие как перенос углекислого газа к легким для выведения из организма. Рисунок гемоглобина может быть полезным визуальным иллюстрированием его структуры и важности для нашего организма.


Структура белковой молекулы гемоглобина
Структура белковой молекулы гемоглобина

Строение гемоглобина формула
Строение гемоглобина формула

Гемоглобин структура белка
Гемоглобин структура белка

Фетальный гемоглобин строение
Фетальный гемоглобин строение

Эритроциты строение клетки
Эритроциты строение клетки

Транспортная функция гемоглобина
Транспортная функция гемоглобина

Гемоглобин состав и строение
Гемоглобин состав и строение

Эритроцит схема строения
Эритроцит схема строения

Железо в эритроцитах
Железо в эритроцитах

Гемоглобин это в биологии 8 класс
Гемоглобин это в биологии 8 класс

Строение гема гемоглобина
Строение гема гемоглобина

Белковая часть гемоглобина
Белковая часть гемоглобина

Увеличение восстановленного гемоглобина
Увеличение восстановленного гемоглобина

Структура гемоглобина рисунок
Структура гемоглобина рисунок

Строение бета цепей гемоглобина
Строение бета цепей гемоглобина

Строение гемоглобина
Строение гемоглобина

Схема строения гемоглобина
Схема строения гемоглобина

Эритроциты рисунок
Эритроциты рисунок

Структура молекулы гемоглобина
Структура молекулы гемоглобина

Строение белка гемоглобина
Строение белка гемоглобина

Строение гемоглобина физиология
Строение гемоглобина физиология

Химическая структура гемоглобина формула
Химическая структура гемоглобина формула

Железо в гемоглобине
Железо в гемоглобине

Строение эритроцита и строение гемоглобина
Строение эритроцита и строение гемоглобина

Схема строения молекулы гемоглобина
Схема строения молекулы гемоглобина

Глобин в гемоглобине
Глобин в гемоглобине

Эритроциты у детей
Эритроциты у детей

Гемоглобин строение молекулы гемоглобина
Гемоглобин строение молекулы гемоглобина

Состав гемоглобина
Состав гемоглобина

Ретроцит структура гемоглобина
Ретроцит структура гемоглобина

Строение гемоглобина биохимия
Строение гемоглобина биохимия

Гемоглобин состоит из белка Глобина и гема структура
Гемоглобин состоит из белка Глобина и гема структура

Химическое строение гемоглобина и миоглобина
Химическое строение гемоглобина и миоглобина

Схема строения гемоглобина
Схема строения гемоглобина

Гемоглобин строение и структура гема
Гемоглобин строение и структура гема

Железо в молекуле гемоглобина
Железо в молекуле гемоглобина

Строение гема гемоглобина
Строение гема гемоглобина

Молекулы железа в гемоглобине
Молекулы железа в гемоглобине

Белок гемоглобин
Белок гемоглобин

4 Структуры белка гемоглобин
4 Структуры белка гемоглобин

Формула гемоглобина в химии структурная
Формула гемоглобина в химии структурная

Эритроциты рисунок
Эритроциты рисунок

Четвертичная структура рисунок
Четвертичная структура рисунок

Порфин протопорфирин гем
Порфин протопорфирин гем

Молекула гемоглобина
Молекула гемоглобина

Гемоглобин строение и функции
Гемоглобин строение и функции

Строение молекулы гемоглобина
Строение молекулы гемоглобина

Строение и функции эритроцитов и гемоглобина
Строение и функции эритроцитов и гемоглобина

Hemoglobin a1c
Hemoglobin a1c

HBS гемоглобин строение
HBS гемоглобин строение

Смотрите онлайн или можете скачать на телефон или компьютер в хорошем качестве совешенно бесплатно. Не забывайте оставить комментарий и посмотреть другие фотографии и изображения высокого качества, например рисунок тенген узуй и рисунок неймара из раздела Рисунки


Уважаемый посетитель, Вы зашли на сайт как незарегистрированный пользователь. Мы рекомендуем Вам зарегистрироваться либо зайти на сайт под своим именем.