на рисунке 19 для срисовки
Найдите 16 на рисунке
19 Рисунок
Чему численно равна площадь фигуры ABEF
Запишите звенья ломаной изображенной на рисунке
Две окружности с центрами о1 и о2 и радиусами 10 и 15
Запиши звенья ломаной изображённой на рисунке 19
19 Рисунок
Рассмотри чертеж Найди площадь
Фигуры площадью 12 клеток
Запишите звенья ломаной изображенной на рисунке 19 и измерьте
Клетки квадратов 1
Дано 1=2 3=4 доказать ABC=ADC
Начерти фигуру в 25 клетках
Найдите координаты точек a, b, c, d, e, f
Площадь фигуры буквой п
Предмет в 3 проекциях
Укажите равновеликие фигуры
Равновеликий квадрат
Скорость рисунок вектор
Тангенс тупого угла ОГЭ
ABCD квадрат ac1 диагональ aa1=3
Угол a1b1 угол ab1
Измерь длины звеньев ломаных
Начерти в тетради ломаную
Запишите все отрезки, изображённые на рис
Точка делит касательную в отношении
19 Фигуры на квадратной
Клетчатый квадрат 14 на 14
Площади фигур
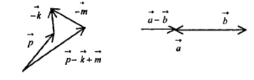
Построить вектор k-m
График функции 9 класс Алгебра Макарычев
Найдите градусную меру угла, изображённого на рисунке.
Запиши звенья ломаной изображённой на рисунке 19 и измерьте
Найдите площадь фигуры изображенной на рисунке
Скорость v и -v на рисунке
19 Фигуры на квадратной
Инерциальные системы отсчета первый закон Ньютона примеры
На рисунке KL параллельно MN найти угол ком
Какова примерная высота дерева
Найдите площадь изображенной фигуры
Запишите звенья ломаной изображенной на рисунке 19 и измерьте их
Сопротивление участка цепи АВ изображенного на рисунке
На рисунке угол 1
Сколько существует различных путей из города а в город к
Вектор силы рисунок






Grizly.club